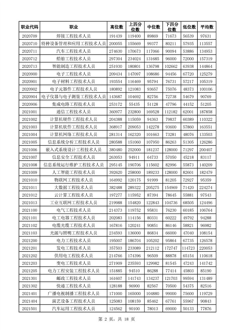
2021年蘇州市企業部分職位薪酬調查信息(工資價位信息)
時間:
2022-09-30 13:13
來源:蘇州市人力資源和社會保障局
訪問量:
【字體:
大中小】
分享到:


















-
掃一掃在手機打開當前頁


